SUB BAB 14.2
OPERASI DIFERENSIAL AND MODE UMUM
1. Tujuan [Kembali]
- Mengetahui dan memahami materi tentang Operasi Diferensial dan Mode-Umum
- Mengetahui prinsip kerja dari OP-AMP
- mengetahui apa saja komponen yang dibutuhkan dalam Rangkaian OP-AMP
2. Alat dan Bahan [Kembali]
Alat
- Instrumen
a. Osiloskop
Osiloskop adalah alat ukur elektronik yang dapat memetakan atau memproyeksikan sinyal listrik dan frekuensi menjadi gambar grafik agar dapat dibaca dan mudah dipelajari. Osiloskop dilengkapi dengan tabung sinar katode. Peranti pemancar elektron memproyeksikan sorotan elektron ke layar tabung sinar katode.
Spesifikasi:
Voltmeter adalah alat untuk mengukur besar tegangan listrik yang dihasilkan oleh sebuah rangkaian listrik.
Voltmeter adalah alat ukur yang terdiri dari dua jenis, yaitu analog dan digital. Pemasangan voltmeter secara paralel bisa menjadi indikator untuk mengetahui tegangan.
Kutub-kutub yang ada pada voltmeter harus searah dengan arus balik pada kutub positif dan negatif.
Spesifikasi :
Generator
a. Signal Generator
Voltmeter adalah alat ukur yang terdiri dari dua jenis, yaitu analog dan digital. Pemasangan voltmeter secara paralel bisa menjadi indikator untuk mengetahui tegangan.
Kutub-kutub yang ada pada voltmeter harus searah dengan arus balik pada kutub positif dan negatif.
Spesifikasi :
b. Op-Amp
Karakteristik Faktor Penguat atau Gain pada Op-Amp pada umumnya ditentukan oleh Resistor Eksternal yang terhubung diantara Output dan Input pembalik (Inverting Input). Konfigurasi dengan umpan balik negatif (Negative Feedback) ini biasanya disebut dengan Closed-Loop configuration atau Konfigurasi Lingkar Tertutup. Umpan balik negatif ini akan menyebabkan penguatan atau gain menjadi berkurang dan menghasilkan penguatan yang dapat diukur serta dapat dikendalikan. Tujuan pengurangan Gain dari Op-Amp ini adalah untuk menghindari terjadinya Noise yang berlebihan dan juga untuk menghindari respon yang tidak diinginkan. Sedangkan pada Konfigurasi Lingkar Terbuka atau Open-Loop Configuration, besar penguatannya adalah tak terhingga (∞) sehingga besarnya tegangan output hampir atau mendekati tegangan Vcc.
Konfigurasi UA741
Karakteristik Faktor Penguat atau Gain pada Op-Amp pada umumnya ditentukan oleh Resistor Eksternal yang terhubung diantara Output dan Input pembalik (Inverting Input). Konfigurasi dengan umpan balik negatif (Negative Feedback) ini biasanya disebut dengan Closed-Loop configuration atau Konfigurasi Lingkar Tertutup. Umpan balik negatif ini akan menyebabkan penguatan atau gain menjadi berkurang dan menghasilkan penguatan yang dapat diukur serta dapat dikendalikan. Tujuan pengurangan Gain dari Op-Amp ini adalah untuk menghindari terjadinya Noise yang berlebihan dan juga untuk menghindari respon yang tidak diinginkan. Sedangkan pada Konfigurasi Lingkar Terbuka atau Open-Loop Configuration, besar penguatannya adalah tak terhingga (∞) sehingga besarnya tegangan output hampir atau mendekati tegangan Vcc.
Konfigurasi UA741
3. Dasar Teori [Kembali]
14.2 PENGOPERASIAN DIFERENSIAL DAN UMUM
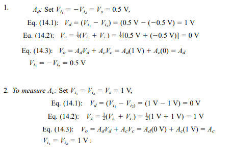
Op-amp adalah kemampuan rangkaian untuk memperkuat sinyal yang berlawanan pada dua masukan dan sedikit memperkuat sinyal yang umum pada kedua masukan. Karena amplifikasi sinyal input yang berlawanan jauh lebih besar daripada sinyal input umum, rangkaian memberikan penolakan mode umum seperti yang dijelaskan oleh nilai numerik yang disebut rasio penolakan mode umum (CMRR).
Input Diferensial : Ketika input terpisah diterapkan ke op-amp, sinyal perbedaan yang dihasilkan adalah perbedaan antara kedua input.

Input Umum : Jika kedua sinyal input sama, elemen sinyal yang sama karena dua input dapat didefinisikan sebagai rata-rata jumlah kedua sinyal.
Tegangan Output : Karena sinyal apa pun yang diterapkan ke op-amp secara umum memiliki komponen in-phase dan out-ofphase, keluaran yang dihasilkan dapat dinyatakan sebagai
![]() |
Dimana : Vd = perbedaan tegangan yang diberikan oleh Persamaan(14.1) Vc = tegangan umum yang diberikan oleh Persamaan. (14.2) Ad = gain diferensial dari penguat Ac = gain mode umum penguat |
![]() |
Ini menunjukkan bahwa ketika input adalah sinyal berlawanan yang ideal (tidak ada elemen umum), maka outputnya adalah kali gain diferensial dua kali sinyal input diterapkan ke salah satu input
Penolakan Mode Umum : Solusi di atas memberikan hubungan yang dapat digunakan untuk mengukur sebuah d dan sebuah c di sirkuit op-amp.
Rasio Penolakan Mode Umum Setelah diperoleh Ad dan SEBUAH Ac, menghitung nilai untuk rasio penolakan mode umum (CMRR), yaitu didefinisikan oleh persamaan berikut:
Problem
1. Hitung CMRR (dalam dB) untuk pengukuran rangkaian dari vd = 1mV, Vo = 140 mv dan Vc = 2 mV Vo=42 uV.
jawab:
2.Tentukan tegangan keluaran sebuah op-amp untuk tegangan masukan Vi1 =220 uV dan Vi2 = 160 uV.Penguat memiliki gain diferensial sebesar Ad 4000 dan th nilai CMRR adlah:
(a) 200.
(b) 10 pangkat 5.
Pilihan ganda
1. Hitung CMMR (dalam dB) untuk pengukuran rangkaian dari vd=8mV,Vo=22v dan Vc=8mV Vo=30 mV.
jawab:
a.57,305
b.666,7
c.12
d.8000
e.20
jawabnnya : A
penjelasan
4. Percobaan [Kembali]
- Siapkan alat dan bahan yang dibutuhkan dalam membuat rangkaian tersebut.
- Alat dan bahan yang digunakan adalah baterai, ground, opamp, motor
- Rangkailah alat dan bahan tersebut seperti gambar di bawah ini.
- Simulasikan pada software proteus





.jpg)



























Tidak ada komentar: